11+ What Is 3 Of 5

The 3-5-3 of Scrum. You click Find Fraction of Number and hey presto you get the.


What Is 4 5 9 11

So the fraction is 1803.

. 113 113 divided by 8. In the calculator window choose the question you need answered and enter the 2 quantities that you already know. Class 3 Off-trail hiking where you need both feet and hands some danger of falling is present Class 4 Simple climbing that includes exposure and frequently a rope real danger of falling.

Joy plants three rows of corn in her garden. What is 11 divided by 3 over 7. Lets multiply both sides.

Enter the 2999 and 500 values into the blue boxes. Explanation of 35 Fraction to Percent Conversion. If 1 4 5 2 5 12 And 3 6 21 What Is 8 11 Quora What is the answer for x plus 5 equals 12.

The row on the south edge of the garden receives more sunlight than the row on the north edge of the garden. What is 36 divided by 11. 27 rows What is 3 percent of 5.

According to Fraction to Percentage conversion formula if. What is the fibinicci sequence. Normally 1299 these little balls of fun are selling for 899 for Cyber Monday which means you can.

Click on the round button below the percent box the first box to make it the answer box. What is 33 divided by. Scientific Notation for Large Numbers.

What is the is the next number in this sequence that is not 11 of 1 3 5 7 9. Right now the 5 Surprise Mini Brands Series 3 are on sale for 31 off. By JJ Sutherland August 1 2018 Blog Scrum teams wishing to receive the return on investment associated with a rigorous Scrum should have an.

How much is 3 of 5. You enter the fraction in the left hand boxes then the number you want to work out the fraction of in the right hand box. 005 100 5 If solving manually the formula requires the percentage in decimal form so the solution for P needs to be multiplied by 100 in order to convert it to a percent.

Use this easy and mobile-friendly. 2 1 Calculate the numerator n. 11 divided by 37 773 or 25 and 23.

The Fibonacci sequence is a sequence of numbers. This will give you the answer of. Number1 Number2 100.

Plugging in our numbers of n 11 and r 3 we get Remember from our factorial lesson that n. We want to know the price per apple unit so we set up a ratio with the number of apples in the denominator. The total price goes in the numerator.

The calculated result will automatically display on the right of the question. Fraction to Percentage Conversion Formula. However this includes each handshake twice 1 with 2 2 with 1 1 with 3 3 with 1 2 with 3 and 3 with 2 and since the orginal question wants to know how many different handshakes are.

11 x 10 x 9 x 8 x 7 x 6 x. It has to be 11. 33 divided by 3.

N n - 1 n - 2.


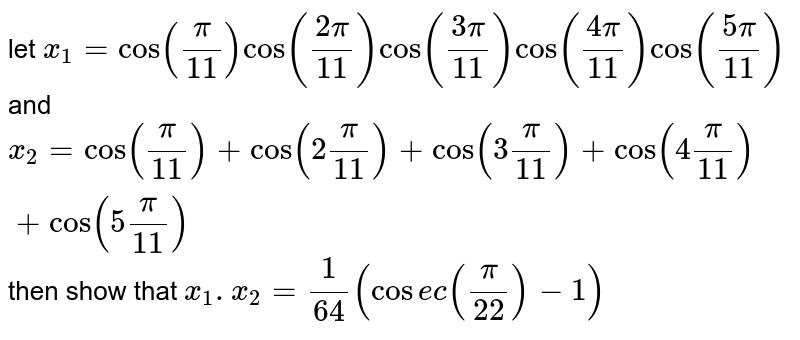
Cos Pi 11 Cos 2 Pi 11 Cos 3 Pi 11 Cos 4 Pi 11 Cos 5pi 11


11 Plus Verbal Reasoning Codes Practice Paper 1 Piacademy Tutors


Best Gifts For 11 Year Olds Boys And Girls 2022 Popsugar Family


Times Tables 7 To 12 Posters At Schofield And Sims


How To Find How Many Diagonals Are In A Polygon 11 Steps


Rd Sharma Solutions For Class 10 Maths Updated For 2022 23 Chapter 9 Arithmetic Progressions


Election 2022 Bond Referendum On The Ballot For Harris County Khou Com


If 1 4 5 2 5 12 And 3 6 21 What Is 8 11 Quora


Free 6 Sample Horizontal Subtraction Facts Worksheet Templates In Pdf


Grade 11 Listening Exam Worksheet


If A And B Are Rational Numbers And 11 7 11 7 A B 77


Worksheet On Multiplication Table Of 11 Word Problems On 11 Times Table


Rd Sharma Solutions For Class 8 Chapter 1 Rational Numbers Download Free Pdf


Example 2 Find Mean Deviation About Mean 12 3 18 17


Without Adding Find The Sum I 1 3 5 7 9 Ii 1 3 5 7 9 L1 13 15 17 19 Youtube


Update 2022 Cambridge Ielts 11 Reading Test 3 Answers Free Lesson


Payments To Frontline Workers Start Wednesday Kare11 Com

Iklan Atas Artikel

Iklan Tengah Artikel 1

Iklan Tengah Artikel 2

Iklan Bawah Artikel